. ANTENNES VUHF DIVERSES

 

ANTENNE HARPON DE LA SERIE 004500 (100-600 MHz)

Antenne à large bande particulièrement adaptée à la réception des signaux TV UHF et VHF.

 

Caractéristiques radioélectriques : 


Bande de fréquences : 100 - 600 MHz

Impédance :  50

VSWR :    < 2:1 dans 95% de la gamme

Polarisation :  horizontale

Gain moyen :  8 dBi

Connecteur d'entrée :  Type "N" 

 

Caractéristiques mécaniques : 


Longueur de chaque demi-structure :  1450 mm

Envergure du dipôle le plus grand :  1600 mm

Envergure du dipôle le plus petit :  25 mm

Poids de l'antenne : 10 kg

Matériaux :  acier inoxydable

 

 

ANTENNE DISCONE DE LA SERIE 007000 (220-500 MHz & 400-1000 MHz)

Antenne robuste réalisée en acier inoxydable.

 

 

Caractéristiques radioélectriques : 


Bande de fréquences : 

   - série 007130 :  220 - 500 MHz

   - série 007270 :  400 - 1000 MHz

Impédance d'entrée :  50

VSWR :     ≤  2.2:1

Gain moyen :  5 dBi

Polarisation :  verticale

Directivité :

  - plan horizontal :  omniazimutale

  - plan vertical :  voir fig.

Connecteur d'entrée :  Type"N" ou tout autre sur demande

 

Caractéristiques mécaniques : 


Dimensions 

   -225-400 MHz :  500 x 600 x 600 mm

   -400-1000 MHz :  210 x 250 x 360 mm

Poids approximatif : 4 kg

Vitesse de vent admissible :  160 km/h

Matériau : acier inoxydable

Fixation prévue sur mâts de diamètre variant de 30 à 50 mm.

 

ANTENNE DISCONE DE LA SERIE 007255 (70-400 MHz)

L'Antenne de la série 007255 est une antenne omnidirective à large bande fonctionnant en polarisation verticale.

Elle est entièrement réalisée en acier inoxydable et peut être installée au sommet d'un mât tubulaire sur lequel elle est fixée à l'aide de 2 colliers.

 

 

Caractéristiques radioélectriques : 


Bande de fréquences :  70 - 400 MHz

Impédance d'entrée :  50

Polarisation :  verticale

VSWR :     ≤  2.2:1

Gain moyen :  5 dBi

Diagrammes de rayonnement :

  - plan horizontal :  omnidirectif

  - plan vertical :  voir fig.

Puissance admissible : 200W

Connecteur d'entrée :  Type"N" 

 

Caractéristiques mécaniques : 


Dimensions 

   -Diamètre de l'élément supérieur :  1000 mm

   -Longueur des brins :  1400 mm

Poids approximatif : 18 kg

Matériau : acier inoxydable

Vitesse de vent admissible :  160 km/h

 

 

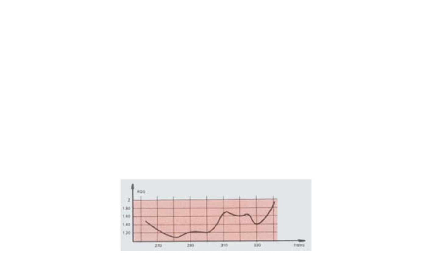
ANTENNE HELICE DE LA SERIE 009200 (270-340 MHz)

Antenne à polarisation circulaire, légère et robuste.

 

 

Caractéristiques radioélectriques : 


Bande de fréquences :  270 - 340 MHz

Impédance d'entrée :  50

Polarisation :  circulaire droite ou gauche

VSWR :     ≤  2:1

Gain moyen :  12 dBi

Diagrammes de rayonnement : voir fig.

Puissance admissible : 300W

Connecteur d'entrée :  Type "N" 

 

Caractéristiques mécaniques : 


Nombre de spires : 7

Longueur :  2 mètres

Diamètre de l'hélice :  400 mm

Diamètre du réflecteur :  1 mètre

Matériau : 

   - Hélice et réflecteur acier inoxydable

   - Support : Polyester

Vitesse de vent admissible :  160 km/h

Poids approximatif : 13 kg

 

Information icon

Nous avons besoin de votre consentement pour charger les traductions

Nous utilisons un service tiers pour traduire le contenu du site web qui peut collecter des données sur votre activité. Veuillez consulter les détails dans la politique de confidentialité et accepter le service pour voir les traductions.